您的位置是:首页 > 技术中心
抑制氧阻聚的物理和化学方法
发布时间:2016-04-27

在紫外光(UV)固化过程中表面氧阻聚是一直困扰人们的问题:


  • 在空气中光固化时,氧阻聚作用常常导致涂层底层固化、表面未固化而发黏。

  • 氧阻聚最终可导致涂层表层出现大量羟基、羰基、过氧基等氧化性结构,从而影响涂层的长期稳定性,甚至可能影响固化后漆膜的硬度、光泽度和抗划伤性等性能。


氧阻剂的机理:

  • 一般物质的基态是单线态,O2 的稳定态却是三线态,有两个自旋方向相同的未成对电子。因此,它会与自由基的聚合反应竞争而消耗自由基。

  • 由于绝大多数光固化工艺是在空气环境中进行的,并且主要的应用是涂料和油墨等具有极大表面/体积比的材料,所以O2 对光固化材料的自由基聚合反应有不容忽视的阻聚作用。

  • 尤其涂膜厚度较薄时,油性有机体系中氧的浓度通常小于或等于2×10-3 mol/L,不仅配方体系中溶解的氧分子阻碍聚合,在光引发过程中,随着固化体系中氧分子的消耗,涂层表面空气中的氧也可以迅速扩散至固化涂层内,继续阻碍聚合。体系中原溶解的氧浓度很低,较容易消耗掉。对于封闭体系,初级活性自由基消耗溶解氧的过程基本相当于聚合诱导期。相对而言,自外界不断扩散至涂层内部的氧才是阻碍聚合的主要原因。氧阻聚也最容易发生在涂层的浅表层或整个较薄涂层内,因为这些区域内,环境中的氧分子扩散更容易些。

氧破坏表面方式--猝灭、清除和氧化。具体机理如下:

  猝灭

  处于基态的三线态O2 可以作为猝灭剂与光活化了的引发剂(以Phi 表示)反应形成配合物,从而将激发三线态的光引发剂猝灭。其过程表示如下:

Phi →(Phi)*→(Phi)*, (Phi)*+(O2)→ Phi +(O2)

  上述过程中,O被激发至活泼的单线态,光引发剂则从激发态回到基态,从而阻碍活性自由基的产生。大多数裂解型光引发剂的激发三线态寿命比较短,在激发态引发剂与O2 作用前,引发剂就已经分解掉,所以O2 与光引发剂发生双分子猝灭作用的几率相对较低,经常可以忽略。

  清除

  基态的O2 本质上是双自由基,因此对光引发过程中产生的活性自由基有较强的加成活性[k>109/(mol·s)],形成比较稳定的过氧化自由基。此过程速率较快,可与活性自由基对单体的加成反应相竞争,对聚合过程的阻碍作用最显著。它可以分为以下2 个步骤:

  • 活性自由基引发单体聚合。

  R·+CH2═CXY→R─CH2─C·XY+单体→聚合物

  • 活性自由基与O2 加成。

  R·+O2→R─O─O·(过氧自由基)

  R─CH2─C·XY+O2→R─CH2─CXY─O─O·

  氧化

  氧分子还可以把已经与单体聚合的自由基氧化成过氧化物,阻止单体的聚合。其作用机理如下:

  显然,在这三种情况下,聚合速率都会下降,而且过氧化物的形成会影响固化涂层的性能。应该注意的是,自由基R·与O2的反应速率常数比其与单体分子的反应速率常数大104 ~ 105倍,所以即使涂层中只存在微量的氧,也不能忽视R·与O2反应时生成的过氧化自由基ROO·。由于ROO·非常稳定,没有引发聚合反应的能力,O2的存在消耗了活性自由基R·,使反应聚合速率下降,并使其显示出诱导期。所以O2是常温下光固化体系自由基聚合的阻聚剂。


现有抑制氧阻聚方法

  • 物理方法:惰性气体保护法、浮蜡、覆膜、强光照射、分布照射

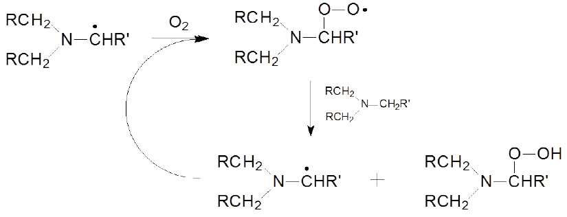
  • 化学方法:加入提供活泼氢的物质──硫醇、胺、醚类丙烯酸酯(丙烯酸酯能与涂料融为一体防止表面开裂,也可以减小气味);相同条件下提供氢原子能力:硫醇类>胺类>醚类

  以胺为例子,反应机理下图:胺上有6个活泼氢,可以消耗6个氧。

  经过对这些方法的一系列实验,我们得出以下结论:

  1. 不管是能量高或者低的固化设备,只要经硫醇类、氨类或者是醚类改性的丙烯酸酯都能提高表面反应性;

  2. 表面反应性随着改性丙烯酸酯浓度增加而加快。

  3. 巯基可以和聚醚丙烯酸酯或者高反应性结构协同作用;

  4. 改变涂料的配方或者是厚度也可以提供表面反应性。缩短低能量照射到基材的距离防止表面固化被破坏。


各种方法优缺点对比图


编译自RadTech International文章,经授权发表。文章有删节。




收缩
  • 电话咨询

  • 13802528342